將溫室氣體二氧化碳轉化為高附加值材料,是實現碳中和目標的重要路徑之一。近日,杭州師范大學材化學院李博副教授與浙江大學高分子系伍廣朋團隊合作,通過精準設計咪唑鎓功能化的雙功能有機硼催化劑,實現了二氧化碳與環氧化物的高效共聚合,為發展新型無金屬催化體系提供了新路徑。
2021年,浙江大學伍廣朋課題組首次提出“分子內動態路易斯酸堿多核催化體系”(DLMCS)概念(Acc. Chem. Res. 2021, 54, 4434–4448)。該體系的核心設計包含四個關鍵要素:可調控的路易斯酸性硼中心、可調控的抗衡陰離子、作為“陰離子中轉站”的季銨/鏻陽離子,以及連接硼中心與陽離子的柔性碳鏈。通過分子內協同作用,該設計有效克服了傳統雙組分催化劑在稀釋條件下因熵減導致的活性下降問題,從而實現了二氧化碳催化轉化的高活性與高選擇性。基于這一理念,團隊發展出一類兼具高活性、模塊化可設計性及規模化制備潛力的有機硼催化體系。
相關研究以Copolymerization of CO2 with Epoxides by Imidazolium Engineering in Bifunctional Organoboron Catalysts為題發表在Macromolecules上。杭州師范大學碩士研究生栗薇和浙江大學博士研究生吳天昊為文章的第一作者,李博副教授和伍廣朋教授為文章的通訊作者。

圖1. 可模塊化設計的有機硼/銨鎓鹽、有機硼/鏻鎓鹽和有機硼/咪唑鎓鹽三類催化劑
盡管上述已報道的有機硼催化體系展現出優異的催化活性與可調控性,但其結構與性能之間的構效關系,尤其是對催化活性具有關鍵影響的陽離子部分,仍缺乏系統性研究。例如,2022年該團隊通過系統對比磷系與氮系有機硼催化劑,首次證實陽離子結構的精細調控對催化性能具有決定性作用(Macromolecules, 2022, 55, 6443,圖1)。然而,無論是季銨鹽還是季鏻鹽陽離子,其電子效應與空間結構的調控手段仍較為有限,導致陽離子的電子特性與立體效應如何協同調控催化效率,尚未得到深入系統的解析(Macromolecules 2024, 57, 8957)。
基于前期研究基礎,杭州師范大學李博副教授與浙江大學伍廣朋研究課題組近期提出了以咪唑鎓陽離子替代傳統銨基或磷基陽離子,構建了一系列新型雙功能有機硼催化劑。咪唑鎓陽離子具備獨特的π共軛骨架,正電荷離域于整個雜環體系,可通過精準引入不同取代基,實現對其電子性質與空間位阻的協同調控,從而為系統揭示“陽離子結構–催化性能”關系提供了理想平臺(Macromolecules, 2026, 59, 1251–1261,圖1)。
研究團隊通過調控咪唑環上取代基的種類與位置,首次闡明了咪唑鎓陽離子的π共軛效應對陰離子遷移行為的調控機制,并實現了活性位點間陰離子轉移過程的精確調控;同時,首次發現并報道了硼中心配位效應與咪唑環電荷效應之間對活性陰離子的競爭性作用,該競爭直接影響聚合反應路徑與動力學行為。此外,得益于咪唑鎓特有的π共軛效應,該類催化劑展現出區別于傳統季銨鹽和季鏻鹽體系的獨特聚合行為,兼具更寬的溫度適用窗口(25–120 ℃)與更溫和可控的聚合速率(TOF > 500 h-1)。本工作充分揭示了雙功能有機硼催化體系中陽離子組分的高度可模塊化設計性與可調性。

圖2. 本工作研究的含咪唑有機硼催化劑的化學結構
本研究中,團隊設計了兩類新型催化劑(圖2):系列一1a–1e:系統調控硼中心與咪唑鎓陽離子之間的柔性亞烷基鏈長度(C3–C7);系列二2–5:在咪唑環的C2、C4及C5位引入不同取代基(苯基、氫、甲基、苯并基)。實驗結果表明:碳鏈長度對催化活性具有顯著影響:以六亞甲基為連接單元的催化劑1d表現出最優活性;鏈長過短(C3–C5)或過長(C7)均導致活性下降,證實適配的空間距離是實現硼中心與咪唑鎓協同催化的關鍵結構因素。C2位取代基效應突出:C2位引入苯基的催化劑2活性最高,顯著優于未取代的催化劑3;而甲基取代的催化劑4亦展現出明顯提升的活性,表明適度的給電子性和空間位阻有利于催化性能。苯并稠合顯著抑制活性:苯并咪唑鎓結構的催化劑5幾乎失活,說明過度共軛削弱了咪唑鎓的路易斯酸性或阻礙了關鍵中間體的形成,從而干擾催化循環。

圖3. 催化劑1D、2、3、4和5在CDCl3中的11B NMR(192 MHz,25℃)
11B NMR化學位移的系統性變化為理解所觀察到的催化活性差異提供了直接的光譜依據(圖3)。11B NMR分析表明,催化劑活性與其硼中心的化學位移密切相關:活性最高的催化劑2(δ = 88.30 ppm)呈現顯著的低場位移,反映出咪唑鎓陽離子通過電子效應顯著降低了硼中心的電子密度。催化性能主要取決于取代基誘導的π共軛效應及由此引發的電子重新分布。其中,N-1位孤對電子參與芳香離域,削弱了氮原子的電子密度,并在雙功能催化體系中產生跨空間的電子傳遞效應。

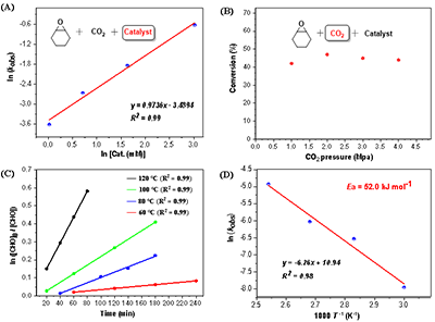
圖4. 動力學測試
動力學研究表明:反應對催化劑濃度呈一級依賴;對二氧化碳壓力呈零級依賴,說明二氧化碳插入非速控步;對環氧化物濃度呈一級依賴;反應表觀活化能 (Ea = 52.0 kJ mol-1),與金屬催化劑相當(圖4)。

圖5. 催化劑2和4關鍵中間體鏈轉移的吉布斯自由能
DFT計算進一步揭示:催化劑2中苯基取代增強了π共軛,優化了碳酸根陰離子從硼中心向咪唑鎓的轉移過程(ΔG = 15.34 kcal/mol),而甲基取代的催化劑4則需更高的能量(ΔG = 18.59 kcal/mol),進一步驗證了實驗結果(圖5)。

圖6. 催化劑催化環氧環己烷/二氧化碳共聚的反應機理
基于實驗與計算,團隊提出分子內協同催化機制:環氧化物與硼中心配位(I),被Br-親核開環(II);二氧化碳插入形成碳酸根陰離子(III);碳酸根轉移至咪唑鎓陽離子(IV),空出的硼中心活化下一分子環氧化物(V);碳酸根回攻開環,完成鏈增長。聚合過程中咪唑鎓充當“陰離子中轉站”,通過靜電作用將陰離子限域在硼中心附近,從而實現高效協同催化。
本研究通過系統調控咪唑鎓陽離子的電子結構與空間位阻,闡明了雙功能有機硼催化劑中陽離子組分在協同活化與立體控制中的關鍵作用,為無金屬催化劑的理性設計提供了新范式。所開發的催化劑兼具高活性、高選擇性及優異熱穩定性,可在溫和條件下高效催化二氧化碳與環氧單體的共聚反應,為可持續聚碳酸酯材料的綠色合成提供了新路徑。未來,該催化體系有望拓展至多種功能性環氧單體,實現結構可控、性能可調的功能化聚碳酸酯的精準合成。
論文信息:Li, W.; Wu, T.; Li, B.; Wu, G.-P. Copolymerization of CO2 with Epoxides by Imidazolium Engineering in Bifunctional Organoboron Catalysts.
Macromolecules 2026, 59 (3), 1251-1261.
https://doi.org/10.1021/acs.macromol.5c03252
- 陜科大王學川教授/黨旭崗副教授JBB:殼聚糖-羧甲基纖維素氣凝膠對含Cr(Ⅲ)、Al(Ⅲ)和Zr(Ⅳ)制革廢水的修復及資源化利用 2024-11-25
- “廢塑料橡膠資源利用技術與新裝備開發研討會”成功在京舉辦 2009-06-18