12月17日,《2020年中國科學院文獻情報中心期刊分區表》(以下簡稱基礎版分區表)正式發布!
2020年基礎版分區表在秉承方法科學和數據客觀的基礎上,延續使用2019年基礎版分區表的方法體系。2020基礎版分區表繼續突出支持本土品牌期刊國際化的導向,形成了“中國SCI期刊評價方案”:主要措施包括調整提升中國期刊入選高區位的比例、擴大中國期刊入選基數(吸納中國ESCI期刊進入分區表評價范圍)和提升弱勢學科期刊分區結果等。
對于綜合性期刊,2020年基礎版分區表采用2019年的工作方案:先將綜合性期刊的每篇論文劃分到一級學科,然后計算每篇論文在相應學科的影響力,最后匯總整本期刊的影響力水平。
具體方法如下:
1.對論文進行學科分類
將綜合期刊的每篇論文(Article+Review)依據其引用期刊和被引期刊的領域分布進行學科分類,劃歸到相應的一級學科。
2.計算論文在各學科的分區
分別計算各期刊論文在不同學科的篇均引文,以一級學科的分區閾值為依據,給出綜合期刊在各一級學科的分區結果。
3.確定綜合期刊的分區結果
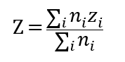
以綜合期刊在各一級學科的分區結果為基礎,計算得出綜合期刊的分區分值(根據發文數量給不同學科賦權)。分區分值的計算公式如下:
和
分別表示綜合期刊在學科i的發文數量和分區。
依據分區分值,分區結果的確定規則如下:
1區:[1, 1.5]
2區:(1.5, 2.5]
3區:(2.5, 3.5]
4區:(3.5, 4]
綜合類期刊60本:



化學類期刊共計406本,這里展示前100名:





工程技術 期刊數量共計 2012 本,前60名如下:



在線平臺網址:http://www.fenqubiao.com
僅用于學術分享,請勿商用,版權屬于中科院文獻情報中心
- 《2018年中國科學院文獻情報中心期刊分區表》正式發布(Macromolecules二區,Polymer三區) 2018-12-12
- 華南理工瞿金平院士團隊招聘博士后、科研助理、碩博生 - 機械、材料、動力工程與工程熱物理、控制、化工、數學、力學 2026-03-12
- 北京大學雷霆課題組誠聘博士后/科研助理 - 化學合成、柔性電子、生物醫學工程、腦機接口等 2026-01-16
- 海南大學王慧團隊誠招碩博生、博后及科研骨干 - 化學、化工、材料、海洋科學與工程應用 2025-11-19
- 2020年度國家科學技術獎勵名單 | 趙東元、吳一弦、朱美芳、楊槐等獲獎 2021-11-03
- 多倫多大學劉新宇團隊、麥吉爾大學李劍宇團隊合作獲得Materials Horizons 2020年度杰出論文獎 2021-07-19
- 中山大學付俊教授團隊獲得2020年度Materials Horizons杰出論文獎 2021-07-16